Rat Pancreatic Islets
Cat.No.: CSC-C9295J
Species: Rat
Source: Pancreatic Islet; Pancreas
- Specification
- Background
- Scientific Data
- Q & A
- Customer Review
Rat Pancreatic Islets are native primary multicellular units isolated from laboratory rat pancreas. Rat pancreatic islets have been established as a physiologically relevant in vitro model to study normal pancreatic endocrine function. Rat pancreatic islets contain multiple hormone-producing endocrine cell types including insulin-producing β cells, glucagon-producing α cells, somatostatin-producing δ cells, and pancreatic polypeptide-producing PP cells. Rat Pancreatic Islets allow for advanced studies of normal cell-cell interactions and hormone secretion since they most closely mimic native pancreas.
Rat Pancreatic Islets are glucose responsive for insulin secretion in culture and maintain many metabolic and signaling pathways used by β-cells for nutrient sensing and hormone secretion. They can be used to study insulin synthesis, secretion, and storage, β-cell viability, proliferation and survival, normal physiology, and β-cell dysfunction. Rat pancreatic islets are frequently used to model type 1 diabetes (T1D), type 2 diabetes (T2D), islet inflammation, glucotoxicity or lipotoxicity-mediated β-cell dysfunction. Additionally, these Islets can be used for pharmaceutical and translational studies including antidiabetic therapies, insulin secretagogues, and cytoprotective studies. Rat pancreatic islets can also be used to study transplantation including islet viability and recovery of function after transplantation.
Dietary Supplementation with Yerba Mate Infusion Increases IRS-1 and PI3K mRNA Levels and Enhances Insulin Sensitivity and Secretion in Rat Pancreatic Islets
Yerba mate (YM), possesses antioxidant, diuretic, cardio-protective and hypoglycaemic effects. However, the mechanisms involved in YM pancreatic islets have not been determined. Maiztegui et al. analyzed YM effects on insulin sensitivity and glucose stimulated insulin secretion (GSIS), hoping to identify key pathways involved in YM regulation of glucose homeostasis.
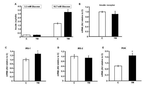
Isolated fresh islets of Langerhans from rats of each group displayed an increased glucose stimulated insulin secretion as a percentage of glucose concentration in the media (Fig. 1A). There were no differences between experimental groups when the rats were incubated with 3.3 mM glucose. Islets harvested from YM rats released significantly higher amounts of insulin when stimulated with 16.7 mM glucose compared to control animals (Fig. 1A). They observed significant increases in IRS-1 and PI3K (p110 catalytic subunit) mRNA when islets were isolated from YM rats (Fig. 1C, E). There were no significant differences between any group in insulin receptor and IRS-2 mRNA levels (Fig. 1B, D). Figure 2 shows that insulin secretion by pancreatic islets was dose-dependent upon addition of glucose in all experimental conditions. When incubated with basal glucose concentration (3.3 mM), islets treated with Yerba mate freeze-dried extract or the phenolic compounds released similar amounts of insulin as compared to control. However, at high glucose concentration (16.7 mM), insulin secretion was significantly higher when incubated with 100 µg/mL YM freeze-dried extract, 1 µM chlorogenic acid, 0.1 and 1 µM rutin, 1 µM caffeic acid or 1 µM quercetin as compared to control conditions (Fig. 2).


Ask a Question
Write your own review
- You May Also Need